포토리소그래피 기술 소개
포토리소그래피 기술의 발전 역사
잭 S. 킬비가 1958년 9월 12일에 세계 최초의 집적 회로를 발명한 이래로 집적 회로는 50년 이상 급속한 발전을 거쳤습니다. 최소 선폭은 현재 20~30nm입니다. 시간이 지나면서 깊은 서브마이크론 범위에 진입했습니다. 핵심 기술 중 하나인 광석판 인쇄 기술도 사진 장비에 사용되는 것과 유사한 확대 렌즈를 처음 사용하던 것에서 오늘날의 1.35 고수치 조리개로 진화했습니다. 이 조리개는 직경이 반 미터가 넘고 무게가 반 톤에 달하며 자동으로 영상 품질을 제어하고 조정할 수 있는 기능을 갖추고 있습니다. 거대한 렌즈 세트입니다. 광석판 인쇄의 기능은 반도체 회로 패턴을 실리콘 웨이퍼에 층층이 인쇄하는 것입니다. 그 아이디어는 오래된 인쇄 기술에서 나왔습니다. 차이점은 인쇄는 잉크를 사용하여 종이의 빛 반사율을 변화시켜 정보를 기록하는 반면, 광석판 인쇄는 빛과 감광 물질의 광화학 반응을 사용하여 대비를 변화시킨다는 것입니다.
인쇄 기술은 중국의 한나라 말기에 처음 등장했습니다. 800여 년 후, 송나라의 비생은 혁명적인 개량을 통해 고정 블록 인쇄를 가동식 인쇄로 바꾸었고, 그 후 빠르게 발전했습니다. 오늘날에는 레이저 사진식자 기술이 개발되었습니다. 현재의 의미에서 "사진석판 인쇄"는 1798년 알로이스 세네페들러의 시도에서 시작되었습니다. 그는 독일 뮌헨에서 자신의 책을 출판하려고 했을 때, 다공성 석회암에 오일 연필로 그림을 그린 다음, 그리지 않은 부분을 물로 적시면 잉크가 연필로 그린 곳에만 접착제가 된다는 것을 발견했습니다. 이 기술을 리소그래피, 즉 돌에 그림이라고 합니다. 리소그래피는 현대 다중 등록의 선구자였습니다.
사진석판술의 기본 방법
몇 가지 유사점이 있기는 하지만, 집적 회로에서의 포토리소그래피는 잉크 대신 빛을 사용하고, 잉크가 있는 영역과 잉크가 없는 영역은 마스크에서 빛이 있는 영역과 빛이 없는 영역이 됩니다. 따라서 집적 회로 제조 산업에서 리소그래피는 포토리소그래피 또는 리소그래피라고도 합니다. 오일 기반 잉크가 석회암에 선택적으로 증착되는 것처럼 빛은 마스크의 투명한 영역만 통과할 수 있고, 투사된 빛은 포토레지스트라는 감광성 재료에 기록됩니다. 포토리소그래피 공정의 간단한 개략도는 그림 7.1에 나와 있습니다.

포토레지스트는 자외선(UV)에 노출된 후 현상액에서 용해 속도가 변하기 때문에 마스크의 패턴이 실리콘 웨이퍼 상단의 포토레지스트 층으로 전송됩니다. 포토레지스트로 덮인 영역은 추가 처리(예: 에칭 또는 이온 주입)를 방지하여 마스크 패턴의 추가 전송을 달성할 수 있습니다.
1960년대 이후, 포토리소그래피 기술은 접촉 노광, 근접 노광, 투사 노광의 세 가지 유형으로 나눌 수 있다. 가장 이른 것은 접촉 또는 근접 노광으로, 1세기 중반까지 제조의 주류였다. 접촉 노광의 경우 이론적으로 마스크와 실리콘 웨이퍼 상단 사이에 갭이 없기 때문에 해상도는 문제가 되지 않는다. 그러나 접촉은 마스크와 포토레지스트의 마모로 인해 결함을 일으키기 때문에 사람들은 결국 근접 노광을 선택했다. 물론 근접 노광에서는 결함을 피할 수 있지만, 근접 노광의 해상도는 갭과 광 산란의 존재로 인해 3μm 이상으로 제한된다. 근접 노광의 이론적 해상도 한계는 다음과 같다.

그 중에서도,
k는 포토레지스트의 매개변수를 나타내며 일반적으로 1과 2 사이입니다.
CD는 최소 크기, 즉 임계 차원을 나타내며, 일반적으로 최소 분해 가능 공간 주기 선 너비에 해당합니다.
λ는 노출 파장을 나타냅니다.
g는 마스크에서 포토레지스트 표면의 갭까지의 거리를 나타냅니다. (g=0은 접촉 노출에 해당)
g는 일반적으로 10μm(마스크와 실리콘 웨이퍼의 표면 평탄도에 의해 제한됨)보다 크기 때문에 분해능이 크게 제한됩니다(예: 450nm 조명 파장의 경우 3μm). 접촉 노출은 0.7μm에 도달할 수 있습니다.
결함과 분해능의 두 가지 어려움을 극복하기 위해 마스크와 실리콘 웨이퍼가 수 센티미터 이상 분리된 투사 노출 방식이 제안되었습니다. 광학 렌즈는 마스크의 패턴 렌즈를 실리콘 웨이퍼에 이미징하는 데 사용됩니다. 시장이 더 큰 칩 크기와 더 엄격한 선폭 균일성 제어를 요구함에 따라 투사 노출도 원래의
전체 실리콘 웨이퍼 노출에서 전체 실리콘 웨이퍼 스캐닝 노출까지(그림 7.2(a) 참조)
단계적 반복 노출(그림 7.2(b) 참조)
스텝 앤 스캔 노출(그림 7.2(c) 참조)

전체 실리콘 웨이퍼 1:1 노광 방법은 구조가 간단하고 빛의 높은 단색성이 필요하지 않습니다. 그러나 칩 크기와 실리콘 웨이퍼 크기가 점점 더 커지고 선폭이 점점 더 미세해짐에 따라 광학 시스템은 이미징 품질에 영향을 미치지 않고 한 번에 전체 실리콘 웨이퍼에 패턴을 투사할 수 없으며 블록 노광이 불가피해집니다.
블록 노출 방법 중 하나는 그림 7.2(a)에 표시된 것처럼 전체 실리콘 웨이퍼 스캐닝 방법입니다. 이 방법은 아크 모양의 시야를 통해 마스크의 패턴을 실리콘 웨이퍼에 지속적으로 스캔하고 노출합니다. 이 시스템은 동일한 광축을 가진 두 개의 구면 거울을 사용하며, 곡률 반경과 설치 거리는 수차가 없다는 요구 사항에 따라 결정됩니다.
하지만 칩 크기와 실리콘 웨이퍼 크기가 점점 더 커지고, 선폭도 점점 더 미세해지면서 1배 노광으로는 높은 패턴 생산 정확도와 배치 정확도를 갖춘 마스크를 만드는 것이 점점 더 어려워지고 있습니다.
따라서 1970년대 후반에 축소 배율의 블록 노광기가 등장했습니다. 칩 패턴은 그림 7.2(b)와 같이 실리콘 웨이퍼에 하나씩 노광됩니다. 따라서 축소 배율의 이 노광 시스템을 스텝 앤 리피트 시스템 또는 스테퍼라고 합니다.
그러나 칩 크기와 실리콘 웨이퍼 크기가 커지고 선폭 제어가 더 엄격해짐에 따라 스테퍼의 기술적 역량조차도 요구를 충족시킬 수 없습니다. 이러한 요구와 현재 기술 간의 모순을 해결한 것이 그림 7.2(c)에 표시된 것처럼 스텝 앤 스캔 노광기의 탄생으로 이어졌습니다. 이 장치는 초기 풀 웨이퍼 스캐닝 노광기와 후기 스텝 앤 리피트 노광기의 장점을 결합한 하이브리드입니다. 즉, 마스크를 한 번에 투사하는 대신 스캔하여 투사하고 전체 실리콘 웨이퍼도 블록 단위로 노광합니다. 이 장치는 광학적 어려움을 높은 기계적 위치 지정 및 제어로 전환합니다. 이 장치는 오늘날까지 산업에서 사용되고 있으며, 특히 65nm 이하 기술 노드에서 반도체 칩을 생산하는 데 사용됩니다.
세계의 주요 리소그래피 기계 제조업체로는 네덜란드의 ASML, 일본의 Nikon과 Canon이 있으며, 그 밖에 Ultrastepper와 같은 비전면형 리소그래피 기계 제조업체도 있습니다.
국내 선진 스캐닝 리소그래피 기계 제조는 늦게 시작되었다. 2002년 이후 주로 상하이 마이크로일렉트로닉스 장비 유한회사(SMEE)에서 개발했다. 국내 리소그래피 기계는 중고 리소그래피 기계를 수리하는 것에서 독립적으로 리소그래피 기계를 개발하고 제조하는 것으로 발전했다. 현재 개발 중인 가장 진보된 리소그래피 기계는 193nm SSA600/20이다(그림 7.3 참조). 세계 선진 수준과 아직 큰 격차가 있지만 만족스러운 진전이 있었다고 말할 수 있다. 수치 조리개는 0.75, 표준 노광 필드는 26×33mm, 분해능은 90nm, 오버레이 정확도는 20nm, 300mm 생산 용량은 시간당 80개이다.

기타 이미지 전송 방법
포토리소그래피의 지속적인 개발을 위한 한 가지 방향은 파장을 줄이는 것이라는 것은 잘 알려진 사실입니다. 그러나 이러한 노력은 적합한 157nm 포토레지스트, 마스크 보호 필름(펠리클)의 개발 및 칼슘 플루오라이드(
). 그러나 지난 20년 동안 사람들은 극자외선(EUV) 파장 포토리소그래피에 많은 연구를 투자했습니다. 이 기술은 강력한 레이저 또는 고전압 방전으로 생성된 크세논 또는 주석 플라즈마에서 방출되는 13.5nm 극자외선을 사용합니다. EUV 기술이 가져온 고해상도는 매우 매력적이지만 이 기술은 또한 많은 기술적 어려움을 가지고 있습니다. 예를 들어 거울은 펄스로 생성된 스플래시 물질에 의해 쉽게 오염되고, 극자외선은 쉽게 흡수됩니다(시스템은 매우 높은 진공과 최소한의 반사 렌즈 수를 가져야 함), 마스크에 대한 엄격한 요구 사항(결함이 없고 높은 반사율), 짧은 파장으로 인한 플레어, 포토레지스트의 반응 속도 및 해상도 등입니다.
마스크 패턴을 전사하기 위해 전통적인 빛을 사용하는 것 외에도 사람들은 X선, 나노임프린트, 다중 전자빔 직접 쓰기, 전자빔, 이온빔 투영 등과 같은 다른 마이크로리소그래피 방법도 찾고 있습니다.
포토리소그래피의 시스템 매개변수
파장, 수치 조리개, 이미지 공간 매질 굴절률
근접 노광의 해상도는 마스크와 실리콘 웨이퍼 사이의 거리가 증가함에 따라 빠르게 저하된다고 앞서 언급했습니다. 투사 노광 방법에서 광학 해상도는 다음 공식에 의해 결정됩니다. 즉,

그 중에서도,
포토리소그래피 공정의 어려움을 특징짓는 비례 계수를 나타냅니다. 일반적으로 말해서,
{{0}}.25와 1.0 사이입니다. 이것은 실제로 유명한 레이리 공식입니다. 이 공식에 따르면 광학 해상도는 파장 λ, 수치 조리개 NA 및 프로세스 관련
. 더 작은 패턴을 인쇄해야 하는 경우 노출 파장을 동시에 줄이고, 수치 조리개를 늘리고,
값 또는 요소 중 하나를 변경합니다. 이 섹션에서는 먼저 파장을 줄이고 수치 조리개를 늘려 해상도를 개선한 기존 결과를 소개합니다. 파장을 줄이고 수치 조리개를 늘려 해상도를 개선하는 방법
고정된 파장과 개구수라는 전제 하에 계수를 논의하겠습니다.
짧은 파장은 높은 해상도를 달성할 수 있지만, 광도(밝기), 주파수 대역폭, 코히어런스(코히어런스는 나중에 자세히 설명함)와 같은 광원과 관련된 몇 가지 다른 중요한 매개변수도 고려해야 합니다. 포괄적인 스크리닝 후, 밝기와 많은 날카로운 스펙트럼 선으로 인해 고압 수은 램프가 신뢰할 수 있는 광원으로 선택되었습니다. 다른 파장의 필터를 사용하여 다른 노출 파장을 선택할 수 있습니다. 단일 파장의 빛을 선택하는 기능은 포토리소그래피에 매우 중요한데, 일반 스테퍼는 비단색광에 대해 색수차를 생성하여 이미지 품질이 저하되기 때문입니다. 업계에서 사용하는 G 라인, H 라인, I 라인은 각각 노출 기계에서 사용하는 436nm, 405nm, 365nm 수은 램프 스펙트럼을 말합니다(그림 7.4 참조).

I-라인 스테퍼의 광학적 분해능은 0.25μm에 불과하기 때문에 더 높은 분해능에 대한 요구로 인해 노출 파장이 150-300nm의 Deep UltraViolet(DUV) 스펙트럼과 같이 더 짧은 파장으로 밀려났습니다. 그러나 고압 수은 램프를 Deep Ultraviolet으로 확장하는 것은 강도가 부족할 뿐만 아니라 장파장 대역의 방사선이 열과 변형을 일으키기 때문에 이상적이지 않습니다. 아르곤 이온 레이저와 같은 일반적인 자외선 레이저도 공간적 코히어런스가 너무 커서 얼룩이 생기고 조명의 균일성에 영향을 미치기 때문에 이상적이지 않습니다. 이와 대조적으로 엑시머 레이저는 다음과 같은 장점 때문에 Deep Ultraviolet에 이상적인 광원으로 선택되었습니다.
(1) 높은 출력 전력으로 리소그래피 기계의 생산성을 극대화합니다.
(2) 다른 레이저와 달리 공간적 불일치로 인해 얼룩이 제거됩니다.
(3) 높은 출력으로 적합한 포토레지스트의 개발이 용이하다.
(4) 광학적으로는 좁은 주파수(수 pm 정도)로 깊은 자외선 출력을 생성할 수 있는 능력으로 인해 고품질의 전석영 리소그래피 기계 렌즈를 설계하는 것이 가능해졌습니다.
따라서 엑시머 레이저는 0.5μm 이하의 집적 회로 생산 라인에서 주류 조명 광원이 되었으며, 가장 초기의 보고는 Jain et al.에 의해 발표되었다. 특히, 파장이 248nm인 크립톤 플루오라이드(KrF)와 파장이 193nm인 아르곤 플루오라이드(ArF)의 두 엑시머 레이저는 노광 에너지, 대역폭, 빔 형상, 수명 및 신뢰성 측면에서 우수한 성능을 보였다. 따라서 ASML의 듀얼 플랫폼 Twinscan XT: 1000H(KrF), Twinscan XT: 1450G(ArF) 및 Nikon의 NSR-S210D(KrF), NSR-310F(ArF)와 같은 고급 스텝 앤 스캔 리소그래피 기계에서 널리 사용되고 있다.
물론, 사람들은 여전히 불소 분자에 의해 생성되는 157nm 레이저와 같은 더 짧은 파장의 광원을 찾고 있습니다.
그러나 적합한 포토레지스트, 마스크 보호막(펠리클)의 개발이 어렵고 렌즈 소재인 불화칼슘의 생산량이 제한되어(
), 157nm 리소그래피 기술은 반도체 공정을 65nm에서 45nm로, 즉 노드 하나만 확장할 수 있습니다. 반면 이전의 193nm 리소그래피 기술 개발은 제조 노드를 130nm에서 90nm와 65nm의 두 노드로 확장하여 157nm 리소그래피 기술의 양산 상용화 노력을 최종적으로 포기하게 되었습니다. 공정 노드에 따른 노출 파장 개발은 그림 7.5에 나와 있습니다.

노출 파장을 줄이는 것 외에도 해상도를 높이는 또 다른 방법은 투영/스캐닝 장치의 수치적 조리개(NA)를 늘리는 것입니다.

여기서 n은 영상 공간에서의 굴절률을 나타내고, θ는 그림 7.6과 같이 영상 공간에서 대물렌즈의 최대 반각을 나타냅니다.

영상 공간의 매질이 공기나 진공일 경우, 굴절률은 1.0 또는 1.0에 가깝고, 개구수는 sinθ이다. 영상 공간에서 대물렌즈의 각도가 클수록 광학계의 분해능은 커진다. 물론 렌즈와 실리콘 웨이퍼 사이의 거리가 변하지 않는다면 개구수가 클수록 렌즈의 직경은 커진다. 렌즈 크기가 클수록 제조의 어려움이 커지고 구조가 복잡해진다.
일반적으로 달성 가능한 최대 수치 조리개는 렌즈 기술의 제조 가능성 및 제조 비용에 의해 결정됩니다. 현재 일반적인 I-라인 스캐닝 리소그래피 기계(ASML의 Twinscan XT: 450G)에는 최대 NA가 0.65인 렌즈가 장착되어 220nm의 고밀도 선과 440nm의 공간 주기를 구분할 수 있습니다. 크립톤 플루오라이드(KrF) 파장의 가장 높은 수치 조리개는 0.93(ASML의 Twinscan XT: 1000H)으로 80nm(160nm 공간 주기)의 고밀도 선을 구분할 수 있습니다. 가장 진보된 ArF 리소그래피 기계는 수치 조리개가 0.93(ASML의 Twinscan XT: 1450G)으로 65nm 고밀도 선(120nm 공간 주기)을 인쇄할 수 있습니다.
앞서 언급했듯이, 수치적 조리개는 이미지 공간에서 렌즈의 조리개 각도를 증가시킬 뿐만 아니라 이미지 공간의 굴절률을 증가시킴으로써 증가될 수 있다. 공기 대신 물을 사용하여 이미지 공간을 채우면 이미지 공간의 굴절률은 193nm 파장에서 1.44로 증가할 것이다. 이는 공기 중의 0.93 NA를 한 번에 1.34 NA로 증가시키는 것과 같다. 분해능은 30%~40% 향상된다. 따라서 2001년에 새로운 액침 리소그래피 시대가 시작되었다. 가장 진보된 상업용 액침 스캐닝 리소그래피 기계는 ASML의 Twinscan NXT:1950i와 Nikon의 NSR-S610C로, 그림 7.7(a)와 7.7(b)에 나와 있다. 액침 리소그래피의 상황은 나중에 자세히 설명한다.

포토리소그래피 해상도의 표현
앞서 언급했듯이 포토리소그래피 해상도는 시스템의 개구수와 파장에 의해 결정되며, 물론 이는 인자와 관련된 포토리소그래피 해상도 향상 방법과 관련이 있습니다.
. 이 섹션에서는 주로 포토리소그래피 공정의 해상도를 판단하는 방법을 소개합니다. 광학 시스템의 해상도는 유명한 레이리 기준에 의해 주어진다는 것을 알고 있습니다. 같은 크기의 두 점 광원이 서로 가까이 있을 때, 그 중심에서 중심까지의 거리는 광학 기기에 의해 이미징된 각 광원의 광도의 최대값에서 첫 번째 최소값까지의 거리와 같으며, 광학 시스템은 그림 7.8과 같이 두 개의 광원인지 하나의 광원인지 구별할 수 없습니다. 그러나 레이리 기준을 충족하더라도 두 점 광원 사이의 영역의 광도는 여전히 피크 값보다 낮으며 대비는 약 20%입니다. 선 광원의 경우 광원의 폭이 무한히 작을 때, NA의 수치 개구부와 λ의 조명 광원의 파장을 갖는 광학 시스템의 경우, 이미지 평면의 광도 분포는 다음과 같습니다.

즉, 광도는 영상의 중심 위치(2NA)를 기준으로 첫 번째 최소점에 도달한다. I0은 영상 중심의 광도를 나타낸다. 이 광학계가 분해할 수 있는 최소 거리는 λ/(2NA)라고 볼 수 있다. 예를 들어, 파장이 193nm이고 NA가 1.35(immersion)일 때, 광학계의 최소 분해 거리는 71.5nm이다.
물론, 포토리소그래피 공정의 경우, 71.5nm의 공간 주기를 가진 패턴을 인쇄할 수 있다는 것을 의미합니까? 답은 '아니요'입니다. 두 가지 이유가 있습니다.
① 어떤 공정이 대량생산되기 위해서는 일정 마진과 공정지표가 필요하다.
② 모든 기계 및 장비의 상업적 제조 정확도와 기계 성능의 종합성을 갖추어야 기계가 해상도 한계에서 밀도 있는 선과 분리된 패턴을 인쇄할 수 있으며, 공정에 대한 잔류 수차의 영향을 최소화할 수 있습니다.
ASML은 1.35 NA 리소그래피 기계의 경우 생산할 수 있는 패턴의 최소 공간 주기가 76nm, 즉 간격이 동일한 38nm 밀도 선이라고 약속합니다. 포토리소그래피 공정에서 한계 분해능은 참조 값일 뿐입니다. 실제 작업에서는 특정 공간 주기와 특정 선 폭에서 공정 창이 얼마나 큰지, 그리고 대량 생산에 충분한지에 대해서만 이야기합니다. 공정 창을 특징짓는 매개변수는 섹션 7.4에서 자세히 설명합니다. 간략하게 소개합니다. 일반적으로 공정 창을 특징짓는 매개변수에는 노출 에너지 위도(EL), 초점 심도 또는 초점 심도(DOF), 마스크 오류 계수(MEF), 오버레이 정확도, 선폭 균일성 등이 포함됩니다.
노출 에너지 위도는 허용 가능한 선폭 변화 범위 내에서 노출 에너지의 최대 허용 편차를 말합니다. 예를 들어, 선폭이 90nm인 선의 경우 선폭은 에너지에 따라 3nm/mJ씩 변하고 허용 가능한 선폭 변화 범위가 ±9nm이면 허용 가능한 노출 에너지 변화 범위는 9×2/3=6mJ입니다. 노출 에너지가 30mJ인 경우 에너지 위도는 노출 에너지에 비해 20%입니다.
초점 심도는 일반적으로 리소그래피 기계의 초점 제어 성능과 관련이 있습니다. 예를 들어, 기계의 초점 평면 안정성, 렌즈의 필드 곡률, 비점수차, 레벨링 정확도 및 실리콘 웨이퍼 플랫폼의 평탄도를 포함한 193nm 리소그래피 기계의 초점 제어 정확도는 120nm입니다. 그러면 대량 생산이 가능한 공정의 최소 초점 심도는 120nm 이상이어야 합니다. 화학 기계적 평탄화와 같은 다른 공정의 영향이 추가되면 최소 초점 심도를 200nm와 같이 개선해야 합니다. 물론 나중에 논의하겠지만 초점 심도의 개선은 에너지 마진을 희생하여 이루어질 수 있습니다.
마스크 오차 계수(MEF)는 공식(7-5)과 같이 마스크의 선폭 편차로 인한 실리콘 웨이퍼 선폭 편차를 마스크의 편차로 나눈 비율로 정의됩니다.

일반적으로 MEF는 1.0에 가깝거나 같습니다. 그러나 패턴의 공간 주기가 회절 한계에 접근하면 MEF가 급격히 증가합니다. 오류 계수가 너무 크면 실리콘 웨이퍼의 선폭 균일성이 저하됩니다. 또는 주어진 선폭 균일성 요구 사항에 따라 마스크 선폭 균일성이 너무 높습니다.
오버레이 정확도는 일반적으로 리소그래피 기계의 이동 플랫폼의 스테핑, 스캐닝 동기화 정확도, 온도 제어, 렌즈 수차 및 수차 안정성에 의해 결정됩니다. 물론 오버레이 정확도는 오버레이 마크의 인식 및 판독 정확도, 오버레이 마크에 대한 공정의 영향, 실리콘 웨이퍼의 공정 변형(예: 다양한 가열 공정, 어닐링 공정) 등에 따라 달라집니다. 최신 리소그래피 기계 스테핑은 실리콘 웨이퍼의 균일한 팽창을 보상할 수 있으며 ASML에서 출시한 "그리드 매핑" GridMapper 소프트웨어와 같이 실리콘 웨이퍼의 불균일한 왜곡도 보상할 수 있습니다. 비선형 실리콘 웨이퍼 노출 그리드의 왜곡을 보정할 수 있습니다.
선폭 균일성은 노출 영역 내부의 균일성(필드 내)과 노출 영역 사이의 균일성(필드 간)의 두 가지 범주로 나뉩니다.
노광 영역 내의 선폭 균일성은 주로 마스크 선폭 균일성(마스크 오차 인자를 통해 전달됨), 에너지 안정성(스캐닝 중), 스캐닝 슬릿 내의 조명 균일성, 노광 영역의 각 지점에 대한 초점/레벨링 균일성, 렌즈 수차(코마 수차, 비점 수차 등), 스캐닝 동기화 정확도 오차(이동 표준 편차, MSD) 등에 의해 결정됩니다.
노출 영역 간의 선폭 균일성은 주로 조사 에너지 안정성, 실리콘 웨이퍼 표면의 실리콘 웨이퍼 기판 필름 두께 분포의 균일성(주로 접착제 코팅의 균일성과 다른 공정에 의해 초래되는 필름 두께의 균일성으로 인해), 실리콘 웨이퍼 표면의 평탄성, 현상액 관련 베이킹의 균일성, 현상액 분무의 균일성 등에 의해 결정됩니다.
포토리소그래피 공정 흐름
기본적인 8-단계 사진석판술 공정 흐름은 그림 7.9에 나와 있습니다.

step01-HMDS 표면처리
단계02-접착
단계03-사전 노출 베이킹
step04-정렬 및 노출
단계05-노출 후 베이킹
단계06-개발
단계07-개발 후 베이킹
단계08-측정
1. 가스실리콘웨이퍼 표면 전처리
포토리소그래피 전에 실리콘 웨이퍼는 습식 세척과 탈이온수 세척을 거쳐 오염 물질을 제거합니다. 세척 후 실리콘 웨이퍼 표면을 소수성 처리하여 실리콘 웨이퍼 표면과 포토레지스트(일반적으로 소수성) 사이의 접착력을 높여야 합니다. 소수성 처리에는 분자식이 (CH₃)3SiNHSi(CH₃)₃인 헥사메틸디실라잔이라는 물질을 사용합니다. 헥사메틸디실라잔(HMDS)의 증기가 생성됩니다. 이 가스 전처리는 페인팅하기 전에 목재와 플라스틱에 프라이머 스프레이를 사용하는 것과 유사합니다. 헥사메틸디실라잔의 역할은 화학 반응을 통해 실리콘 웨이퍼 표면의 친수성 하이드록실(OH)을 소수성 하이드록실(OH)로 대체하는 것입니다. OSi(CH₃)₃. 전처리의 목적을 달성하기 위해
가스 전처리 온도는 200-250도로 제어되며, 시간은 일반적으로 30초입니다. 가스 전처리 장치는 포토레지스트 처리를 위한 웨이퍼 트랙에 연결되며, 그 기본 구조는 그림 7.10에 나와 있습니다.

2. 스핀코팅 포토레지스트, 반사방지막
가스 전처리 후, 포토레지스트를 실리콘 웨이퍼 표면에 코팅해야 합니다. 가장 널리 사용되는 코팅 방법은 스핀 코팅 방법입니다. 포토레지스트(약 몇 밀리리터)는 파이프라인을 통해 먼저 실리콘 웨이퍼 중앙으로 운반된 다음, 실리콘 웨이퍼를 회전시키고 점차 가속하여 특정 속도에서 안정화됩니다(속도는 접착제의 두께를 결정하고 두께는 속도의 제곱근에 반비례합니다). 실리콘 웨이퍼가 멈추면 표면은 기본적으로 건조하고 두께는 사전 설정된 크기로 안정됩니다. 코팅 두께의 균일성은 ±20Å("Å, 발음은 "옹스트롬"으로, 입자 물리학에서 길이의 단위입니다. 1Å는 다음과 같습니다.
m, 즉 1/10나노미터) 45nm 이상의 첨단 기술 노드에서. 일반적으로 포토레지스트의 주요 구성 요소는 유기 수지, 화학 용매, 감광성 화합물(PAC)의 세 가지입니다.
자세한 포토레지스트는 포토레지스트에 대한 장에서 논의됩니다. 이 섹션에서는 기본 유체 역학만 논의합니다. 코팅 프로세스는 세 단계로 나뉩니다.
① 포토레지스트의 운반;
② 실리콘 웨이퍼의 회전을 최종 속도까지 가속한다.
③ 두께가 미리 설정된 값에서 안정될 때까지 일정한 속도로 회전합니다.
최종 포토레지스트 두께는 포토레지스트 점도와 최종 회전 속도와 직접 관련이 있습니다. 포토레지스트의 점도는 화학 용매를 늘리거나 줄여서 조정할 수 있습니다. 스핀 코팅 유체 역학은 신중하게 연구되었습니다.
다음 매개변수를 완전히 제어함으로써 포토레지스트 두께 균일성에 대한 높은 요구 사항을 달성할 수 있습니다.
① 포토레지스트 온도;
② 주변온도;
③ 실리콘 웨이퍼 온도;
④ 코팅모듈의 배출유량 및 압력
코팅 관련 결함을 줄이는 방법은 또 다른 과제입니다. 실무에 따르면 다음 공정을 사용하면 결함 발생을 크게 줄일 수 있습니다.
(1) 포토레지스트 자체는 깨끗하고 입자상 물질이 없어야 합니다. 코팅하기 전에 여과 공정을 사용해야 하며 필터의 기공 크기는 기술 노드의 요구 사항을 충족해야 합니다.
(2) 포토레지스트 자체에는 혼합 공기가 포함되어서는 안 됩니다. 거품이 이미징 결함을 일으키기 때문입니다. 거품은 입자와 유사하게 동작합니다.
(3) 코팅볼의 설계는 배출된 포토레지스트의 튀는 현상을 구조적으로 방지해야 합니다.
(4) 포토레지스트를 공급하기 위한 펌핑 시스템은 포토레지스트를 공급할 때마다 다시 빨아들일 수 있도록 설계되어야 합니다. 흡입 백의 기능은 과도한 포토레지스트를 노즐에서 파이프라인으로 다시 빨아들여 실리콘 웨이퍼에 과도한 포토레지스트가 떨어지거나 과도한 포토레지스트가 말라서 다음 공급 중에 입자 결함이 생기는 것을 방지하는 것입니다. 흡입 백 동작은 과도한 공기가 파이프라인으로 유입되는 것을 방지하기 위해 조절 가능해야 합니다.
(5) 웨이퍼 에지 디본딩(Edge Bead Removal, EBR) 공정에 사용되는 용매는 잘 제어해야 합니다. 실리콘 웨이퍼의 스핀 코팅 공정 동안, 포토레지스트는 원심력으로 인해 실리콘 웨이퍼의 가장자리로 흐르고 실리콘 웨이퍼의 가장자리에서 실리콘 웨이퍼의 뒷면으로 흐릅니다. 그림 7.11과 같이 표면 장력으로 인해 실리콘 웨이퍼의 가장자리에 구슬 모양의 포토레지스트 잔류물의 원형이 형성됩니다. 이 잔류물을 에지 비드라고 합니다. 제거하지 않으면 이 구슬 원형이 벗겨져 건조 후 입자를 형성하고 실리콘 웨이퍼, 실리콘 웨이퍼 운반 도구 및 실리콘 웨이퍼 처리 장비에 떨어져 결함률이 증가합니다. 또한 실리콘 웨이퍼 뒷면의 포토레지스트 잔류물이 실리콘 웨이퍼 플랫폼(웨이퍼 척)에 달라붙어 실리콘 웨이퍼의 흡착이 잘 되지 않아 노출 초점이 흐려지고 오버레이 오류가 증가합니다. 일반적으로 포토레지스트 코팅 장비에는 에지 제거 장치가 설치됩니다. 실리콘 웨이퍼의 가장자리로부터 일정 거리에 있는 포토레지스트를 제거하는 기능은 실리콘 웨이퍼의 가장자리에서 실리콘 웨이퍼를 회전시켜서 구현됩니다(상단에 한 개, 하단에 한 개 노즐이 있으며, 실리콘 웨이퍼 가장자리로부터 노즐의 위치는 조절 가능합니다).

(6) 신중한 계산을 통해, 약 90%~99%의 포토레지스트가 실리콘 웨이퍼에서 스핀오프되어 낭비되는 것으로 밝혀졌습니다. 사람들은 프로필렌 글리콜 메틸 에테르 아세테이트(분자식 CH₃COOCH(CH₃)CH₃OCH₃), PGMEA)라는 화학 용매를 사용하여 실리콘 웨이퍼에 포토레지스트를 스핀하기 전에 실리콘 웨이퍼를 전처리하려고 시도했습니다. 이 방법을 레지스트 감소 코팅(RRC)이라고 합니다. 그러나 이 방법을 부적절하게 사용하면 결함이 발생합니다. 결함은 RRC-포토레지스트 계면에서의 화학적 충격과 공기 중의 암모니아에 의한 RRC 용매의 오염과 관련이 있을 수 있습니다.
(7) 실리콘 웨이퍼가 회전하는 현상 공정 중에 현상액의 작은 물방울이 튀는 것을 방지하기 위해 현상액 또는 현상액 모듈의 배출 압력을 유지하십시오.
포토레지스트의 점도는 온도에 따라 변하기 때문에 실리콘 웨이퍼 또는 포토레지스트의 온도를 의도적으로 변경하여 다양한 두께를 얻을 수 있습니다. 실리콘 웨이퍼의 다른 영역에 다른 온도를 설정하면 실리콘 웨이퍼에서 다른 포토레지스트 두께를 얻을 수 있습니다. 최적의 포토레지스트 두께는 선폭과 포토레지스트 두께의 법칙(스윙 커브)에 의해 결정되어 실리콘 웨이퍼, 기계 시간 및 재료를 절약할 수 있습니다. 스윙 커브에 대한 논의는 후속 장에서 논의합니다. 반사 방지층의 스핀 코팅 방법과 원리는 동일합니다.
3. 사전 노출 베이킹
포토레지스트를 실리콘 웨이퍼 표면에 스핀코팅한 후에는 베이킹해야 합니다. 베이킹의 목적은 거의 모든 용매를 몰아내는 것입니다. 이 베이킹은 노출 전에 수행되기 때문에 "사전 노출 베이킹" 또는 "사전 베이킹"이라고 합니다. 사전 베이킹은 포토레지스트의 접착력을 개선하고, 포토레지스트의 균일성을 개선하며, 에칭 공정 동안 선폭 균일성을 제어합니다. 섹션 6.3에서 언급한 화학 증폭 포토레지스트에서 사전 베이킹은 광산의 확산 길이를 어느 정도 변경하여 공정 창의 매개변수를 조정하는 데에도 사용할 수 있습니다. 일반적인 사전 베이킹 온도와 시간은 90-100도, 약 30초입니다. 사전 베이킹 후 실리콘 웨이퍼는 베이킹에 사용된 핫 플레이트에서 차가운 플레이트로 옮겨져 노출 단계를 준비하기 위해 실온으로 돌아갑니다.
4. 정렬 및 노출
사전 베이킹 후의 단계는 정렬 및 노출입니다. 투사 노출 방법에서 마스크를 실리콘 웨이퍼의 사전 정의된 대략적인 위치 또는 실리콘 웨이퍼의 기존 패턴에 대한 적절한 위치로 이동한 다음 렌즈가 포토리소그래피를 통해 패턴을 실리콘 웨이퍼로 전송합니다. 근접 또는 접촉 노출의 경우 마스크의 패턴은 자외선 광원에 의해 실리콘 웨이퍼에 직접 노출됩니다.
첫 번째 패턴 층의 경우 실리콘 웨이퍼에 패턴이 없을 수 있으며, 포토리소그래피 기계는 마스크를 실리콘 웨이퍼에서 사전 정의된(칩 차별화 방법) 대략적인 위치로 상대적으로 이동시킵니다(포토리소그래피 기계 플랫폼에서 실리콘 웨이퍼의 측면 배치 정확도에 따라 달라지며 일반적으로 10~30μm 정도).
두 번째 레이어와 그 이후의 패턴의 경우, 포토리소그래피 기계는 이전 레이어 노출로 인해 남은 정렬 마크를 정렬하여 이전 레이어의 기존 패턴에 이 레이어의 마스크를 오버프린트해야 합니다. 이 오버레이 정확도는 일반적으로 최소 패턴 크기의 25%~30%입니다. 예를 들어, 90nm 기술에서 오버레이 정확도는 일반적으로 22~28nm(표준 편차의 3배)입니다. 정렬 정확도가 요구 사항을 충족하면 노출이 시작됩니다. 광 에너지는 포토레지스트의 감광성 구성 요소를 활성화하고 광화학 반응을 시작합니다. 포토리소그래피의 품질을 측정하는 주요 지표는 일반적으로 임계 치수(CD)의 해상도와 균일성, 오버레이 정확도, 입자 및 결함 수입니다.
오버레이 정확도의 기본 의미는 두 개의 포토리소그래피 공정 사이의 그래픽 정렬 정확도(3σ)를 말합니다. 정렬 편차가 너무 크면 제품의 수율에 직접적인 영향을 미칩니다. 하이엔드 포토리소그래피 기계의 경우 일반 장비 공급업체는 오버레이 정확도에 대해 두 가지 값을 제공합니다. 하나는 단일 기계 자체의 두 배 오버레이 오류이고 다른 하나는 두 장치(다른 장치) 사이의 오버레이 오류입니다.
5. 노출 후 베이킹
노출이 완료된 후 포토레지스트를 다시 베이킹해야 합니다. 이 베이킹은 노출 후에 이루어지므로 "포스트노출 베이킹"이라고 하며, 포스트노출 베이킹(PEB)으로 줄여서 부릅니다. 포스트베이킹의 목적은 가열을 통해 광화학 반응을 완전히 완료하는 것입니다. 노출 공정 중에 생성된 감광성 성분은 가열 작용 하에 확산되어 포토레지스트와 화학적으로 반응하여 현상액에 거의 녹지 않던 포토레지스트 물질을 현상액에 녹는 물질로 바꾸어 포토레지스트 필름에서 현상액에 녹고 현상액에 녹지 않는 패턴을 형성합니다.
이러한 패턴은 마스크의 패턴과 일치하지만 표시되지 않으므로 "잠상"이라고도 합니다. 화학적으로 증폭된 포토레지스트의 경우 과도한 베이킹 온도 또는 과도한 베이킹 시간은 광산(광화학 반응의 촉매)의 과도한 확산으로 이어져 원래 이미지 대비가 손상되고 프로세스 윈도우와 선 폭의 균일성이 감소합니다. 자세한 논의는 후속 장에서 수행합니다. 잠상을 진정으로 표시하려면 현상이 필요합니다.
6. 개발
포스트베이킹이 완료된 후 실리콘 웨이퍼는 현상 단계로 들어갑니다. 광화학 반응 후의 포토레지스트는 산성이므로 강알칼리 용액을 현상액으로 사용합니다. 일반적으로 분자식이 (CH₃)₄NOH인 2.38% 테트라메틸암모늄하이드록사이드 수용액(TMAH)을 사용합니다. 포토레지스트 필름이 현상 과정을 거친 후, 노출된 부분은 현상액에 의해 씻겨 나가고 마스크의 패턴이 포토레지스트가 있거나 없는 오목하고 볼록한 모양으로 실리콘 웨이퍼의 포토레지스트 필름에 표시됩니다. 현상 과정은 일반적으로 다음과 같은 단계로 이루어집니다.
(1) 사전 분무(pre-wet) : 실리콘 웨이퍼 표면에 탈이온수(DI water)를 소량 분무하여 실리콘 웨이퍼 표면의 현상액 접착력을 향상시킨다.
(2) 현상액 분사(Developer Dispenser Dispensing): 실리콘 웨이퍼 표면에 현상액을 분사하는 방식입니다. 실리콘 웨이퍼 표면의 모든 부분이 최대한 동일한 양의 현상액과 접촉하도록 하기 위해 현상액 분사는 다음과 같은 방법을 개발했습니다. 예를 들어 E2 노즐, LD 노즐 등을 사용합니다.
(3) 현상액 표면 체류(웅덩이) 현상액을 분사한 후에는 일반적으로 수십 초에서 1~2분 정도 실리콘 웨이퍼 표면에 머물러 있어야 현상액이 포토레지스트와 완전히 반응할 수 있습니다.
(4) 현상액 제거 및 세척: 현상액이 멈춘 후 현상액을 버리고 탈이온수를 실리콘 웨이퍼 표면에 분사하여 잔류 현상액 및 잔류 포토레지스트 조각을 제거합니다.
(5) 스핀드라이 : 실리콘 웨이퍼를 고속으로 회전시켜 표면의 탈이온수를 스핀드라이한다.
7. 현상후 베이킹, 하드필름 베이킹
현상 후 실리콘 웨이퍼가 물에 노출되기 때문에 포토레지스트가 약간의 물을 흡수하게 되는데, 이는 습식 에칭과 같은 후속 공정에 좋지 않습니다. 따라서 포토레지스트에서 과도한 물을 배출하기 위해 하드 필름 베이킹이 필요합니다. 현재 대부분의 에칭은 "건식 에칭"이라고도 하는 플라스마 에칭을 사용하기 때문에 많은 공정에서 하드 필름 베이킹이 생략되었습니다.
8. 측정
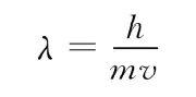
노출이 완료된 후, 리소그래피에 의해 형성된 임계 치수(Critical Dimension, 약칭 CD)와 오버레이 정확도를 측정해야 합니다(계측학). 임계 치수는 일반적으로 주사 전자 현미경을 사용하여 측정하는 반면 오버레이 정확도는 광학 현미경과 전하 결합 배열 이미징 검출기(CCD)로 측정합니다. 주사 전자 현미경을 사용하는 이유는 반도체 공정의 선폭이 일반적으로 가시광선의 파장(예: 400~700nm)보다 작고 전자 현미경의 전자 등가 파장은 전자의 가속 전압에 의해 결정되기 때문입니다. 양자 역학의 원리에 따르면 전자의 드 브로이 파장은

여기서 h(6.626×10-³⁴Js)는 플랑크 상수 m(9.1×10-³¹kg)은 진공 속 전자의 질량이고, v는 전자의 속도이다. 가속 전압이 V일 때, 전자의 드브로이 파장은 다음과 같이 쓸 수 있다.

여기서 q(1.609×10-19c)는 전자의 전하입니다. 숫자 값을 대입하면 방정식(7-7)은 대략 다음과 같이 쓸 수 있습니다.

가속 전압이 300V일 경우 전자의 파장은 0.07nm로 선폭을 측정하기에 충분합니다. 실제 작업에서 전자 현미경의 분해능은 재료 내 전자빔의 다중 산란과 전자 렌즈의 수차에 의해 결정됩니다. 일반적으로 전자 현미경의 분해능은 수십 나노미터이고 선 치수 측정 오차는 약 1~3nm입니다. 오버레이 정확도는 나노미터 수준에 도달했지만 오버레이 측정에는 더 두꺼운 선의 중심 위치만 결정할 수 있는 능력만 필요하므로 광학 현미경을 사용하여 오버레이 정확도를 측정할 수 있습니다.
그림 7.12(a)는 주사 전자 현미경으로 측정한 크기 측정의 스크린샷입니다. 그림에서 흰색 이중선과 상대 화살표는 대상 크기를 나타냅니다. 주사 전자 현미경의 이미지 대비는 전자 충격으로 생성된 2차 전자의 방출과 수집에 의해 형성됩니다. 선의 가장자리에서 더 많은 2차 전자를 수집할 수 있음을 알 수 있습니다. 원칙적으로 수집된 전자가 많을수록 측정이 더 정확해집니다. 그러나 전자빔이 포토레지스트에 미치는 영향을 무시할 수 없기 때문에 전자빔 조사 후 포토레지스트가 줄어들고 특히 193nm 포토레지스트가 줄어듭니다. 따라서 측정 가능성과 최소 방해 사이의 균형을 확립하는 것이 매우 중요해집니다.

그림 7.12(b)는 오버레이 측정의 전형적인 개략도이며, 여기서 선 두께는 일반적으로 1~3μm, 외측 프레임 측면 길이는 일반적으로 20~30μm, 내측 프레임 측면 길이는 일반적으로 10~20μm이다. 이 그림에서 내측 및 외측 프레임에 의해 표시되는 다른 색상 또는 대비는 박막의 다른 층의 두께 차이로 인해 반사된 빛의 색상 및 대비의 차이로 인한 것이다. 오버레이의 측정은 내측 프레임의 중심점과 외측 프레임의 중심점 사이의 공간적 차이를 결정함으로써 달성된다. 충분한 신호 강도가 제공되는 한 광학 현미경조차도 약 1nm의 측정 정확도를 달성할 수 있다는 것이 실무적으로 입증되었다.
리소그래피 공정 윈도우 및 패턴 무결성 평가 방법
노출 에너지 마진, 정규화된 이미지 대수 기울기(NILS)
2절에서 노광 에너지 마진(EL)은 허용 가능한 선폭 변화 범위 내에서 노광 에너지의 최대 허용 편차를 말한다고 언급했습니다. 이는 리소그래피 공정을 측정하는 기본 매개변수입니다.
그림 7.13(a)는 노출 에너지와 초점거리에 따른 리소그래피 패턴의 변화를 보여준다.
그림 7.13(b)는 실리콘 웨이퍼에 노출된 다양한 에너지와 초점 거리를 가진 2차원 분포 테스트 패턴을 보여줍니다. 이는 매트릭스와 같으며 초점-노출 매트릭스(FEM)라고도 합니다.
이 매트릭스는 에너지 마진 및 초점 깊이와 같은 하나 또는 여러 패턴에서 포토리소그래피 공정의 공정 창을 측정하는 데 사용됩니다. 마스크에 특수 테스트 패턴이 추가되면 Focus-Energy Matrix는 리소그래피 기계 렌즈의 다양한 수차, 스트레이 라이트(플레어), 마스크 오류 계수, 포토레지스트의 광산 확산 길이, 포토레지스트의 감도, 마스크의 제조 정확도 등과 같은 공정 및 장비와 관련된 다른 성능 매개변수도 측정할 수 있습니다.

그림 7.13 (a)에서 회색 그래프는 노출 및 현상 후 포토레지스트(양성 포토레지스트)의 단면 형태를 나타냅니다. 노출 에너지가 계속 증가함에 따라 선폭은 점점 더 작아집니다. 초점 거리가 변경됨에 따라 포토레지스트의 수직 형태도 변경됩니다. 먼저 에너지에 따른 변화에 대해 논의해 보겠습니다. 초점 거리를 -0.1μm로 선택하면 즉, 투사 초점 평면이 포토레지스트 상단에서 0.1μm 아래에 있습니다. 에너지에 따라 변화하는 선폭을 측정하면 그림 7.14와 같은 곡선을 얻을 수 있습니다.

선폭의 총 CD 허용오차를 90nm 선폭의 ±10%, 즉 18nm로 선택하고, 노광 에너지에 따라 변화하는 선폭의 기울기를 6.5nm/(mJ/cm²)로 하고, 최적 노광 에너지가 20(mJ/cm²)일 때, 에너지 마진 EL은 18/6.5/20=13.8%가 된다.
충분한가? 이 질문은 리소그래피 기계의 강도, 공정 생산 제어 능력, 선폭에 대한 장치의 요구 사항과 같은 요인과 관련이 있습니다. 에너지 마진은 또한 포토레지스트의 공간 이미지를 보존하는 능력과 관련이 있습니다. 일반적으로 90nm, 65nm, 45nm 및 32nm 노드에서 게이트 층 리소그래피에 대한 EL 요구 사항은 15%~20%이고 금속 배선 층에 대한 EL 요구 사항은 약 13%~15%입니다.
에너지 마진은 이미지 대비와도 직접 관련이 있지만, 여기서의 이미지는 렌즈의 공간적 이미지가 아니라 포토레지스트의 광화학 반응 후의 "잠상"입니다. 포토레지스트에 의한 빛의 흡수와 광화학 반응의 발생은 포토레지스트 필름에서 감광성 성분의 확산을 필요로 합니다. 이 광화학 반응에 필요한 확산은 이미지의 대비를 감소시킵니다. 대비는 다음과 같이 정의됩니다.

이 중 U는 '잠상'의 등가 광도(실제로는 감광 성분의 밀도)입니다.
밀도가 높은 선의 경우 공간 주기 P가 λ/NA보다 작으면 해당 공간 이미지 등가 광도 U(x)는 그림 7.15에 표시된 것처럼 사인파여야 하며 다음과 같이 작성할 수 있습니다.

그림 7.16에 표시된 것처럼 EL의 정의에 수식(7-10)을 결합하면 EL은 다음과 같은 식으로 작성될 수 있습니다. 즉,

동일한 선과 공간의 경우 CD=P/2입니다. 더 간결하고 직관적인 표현이 있습니다.

즉, dCD가 일반적인 10% CD를 사용하는 경우 대비는 EL의 약 3.2배와 같습니다. 공식(7-11)의 기울기는 다음과 같습니다.

이를 이미지 로그 슬로프(ILS)라고도 합니다. 이미지 대비 및 EL과 직접 관련이 있기 때문에 리소그래피 공정 창을 측정하는 중요한 매개변수로도 사용됩니다. 정규화하면, 즉 선폭에 곱하면, 공식(7-15)에 정의된 대로 정규화된 이미지 로그 슬로프(NILS)를 얻을 수 있습니다. 즉,

일반적으로 U(x)는 렌즈가 포토레지스트에 투사한 공간 이미지를 말하며, 여기서는 포토레지스트의 광화학 반응 후의 "잠상"을 말합니다. 간격이 동일한 밀도가 높은 선의 경우 CD=P/2이고 공간 주기 P가 λ/NA보다 작으면 NILS를 다음과 같이 쓸 수 있습니다.

예를 들어, 90nm 메모리 공정의 경우 선폭 CD는 0.09μm이고 대비가 50%이고 공간 주기가 0.18μm이면 NILS는 1.57입니다.
초점 심도(레벨링 방법)
초점 심도(DOF)는 허용 선폭 변화 범위 내에서 초점 길이 변화의 최대 범위를 말합니다. 그림 7.13에서 볼 수 있듯이, 포토레지스트는 초점 길이가 변함에 따라 선폭뿐만 아니라 형태도 변합니다. 일반적으로 193nm 포토레지스트 및 고해상도 248nm 포토레지스트와 같이 투명도가 높은 포토레지스트의 경우, 포토리소그래피 기계의 초점 평면이 음수 값일 때 초점 평면은 포토레지스트 상단에 가깝습니다. 종횡비가 2.5-3보다 클 때 포토레지스트 하단의 선폭이 크기 때문에 "언더컷"도 발생할 수 있으며, 이는 기계적 불안정성과 기울어짐을 일으킬 수 있습니다. 초점 평면이 양수 값일 때 포토레지스트 홈 상단의 선폭이 크기 때문에 상단의 사각형 모서리가 둥글어집니다(상단 라운딩). 이러한 "상부 라운딩"은 에칭 후 재료 형태로 전달될 수 있으므로 "언더컷"과 "라운딩"을 모두 피해야 합니다.
그림 7.13의 선폭 데이터를 그리면, 다양한 노출 에너지에서 선폭 대 초점거리의 곡선이 그림 7.17과 같이 얻어집니다.

노출 에너지가 16, 18, 20, 22, 24일 때 초점거리에 따른 선폭의 변화를 포아송 플롯이라고도 한다.
허용 선폭 변화 범위를 ±9nm로 제한하면 최적의 노광 에너지에서 허용 가능한 최대 초점거리 변화는 그림 7.17에서 찾을 수 있습니다. 그뿐만 아니라 실제 작업에서는 에너지와 초점거리가 동시에 변하기 때문에(예: 리소그래피 기계의 드리프트) 에너지 드리프트 조건에서 허용 가능한 최대 초점거리 변화 범위를 구해야 합니다. 그림 7.17에서와 같이 허용 가능한 선폭 EL 변화 범위(예: ±5%를 기준으로 함(EL=10%))를 사용하면 허용 가능한 최대 초점거리 변화 범위를 계산할 수 있으며, 이는 19~21 mJ/cm2입니다. EL 데이터는 그림 7.18에서와 같이 허용 가능한 초점거리 범위에 대해 플로팅할 수 있습니다. 90nm 공정에서 10% EL의 변화 범위에서 최대 초점 깊이 범위는 약 0.30μm임을 알 수 있습니다.
충분할까요? 일반적으로 초점 심도는 포토리소그래피 기계와 관련이 있습니다. 예를 들어 초점 제어 정확도에는 기계 초점 평면의 안정성, 렌즈의 필드 곡률, 비점수차, 레벨링 정확도 및 실리콘 웨이퍼 플랫폼의 평탄도가 포함됩니다. 물론 실리콘 웨이퍼 자체의 평탄도 및 화학 기계적 평탄화 공정으로 인한 평탄도 감소 정도와도 관련이 있습니다. 다양한 기술 노드의 경우 일반적인 초점 심도 요구 사항은 표 7.1에 나와 있습니다.


초점 심도가 매우 중요하기 때문에 리소그래피 기계의 중요한 부분인 레벨링이 매우 중요합니다. 오늘날 업계에서 가장 일반적으로 사용되는 레벨링 방법은 실리콘 웨이퍼의 수직 위치 z와 기울기 각도 R을 결정하는 것입니다.x그리고 Ry
그림 7.19와 같이 실리콘 웨이퍼 표면에서 비스듬한 입사광에 의해 반사되는 광점의 위치를 측정하여 수평 방향으로 측정합니다.

실제 시스템은 독립 z, R을 분리하는 방법을 포함하여 훨씬 더 복잡합니다.x, 그리고 Ry. 이 세 개의 독립적인 매개변수는 동시에 측정되어야 하기 때문에, 한 개의 광선으로는 충분하지 않습니다(측면 변위에 대한 자유도는 두 개뿐입니다). 최소한 두 개의 광선이 필요합니다.
또한 z, R을 검출하는 것이 필요한 경우x, 그리고 Ry노출 영역 또는 슬릿의 다른 지점에서 광점의 수를 늘려야 합니다. 일반적으로 노출 영역의 경우 최대 8~10개의 측정 지점이 있을 수 있습니다. 그러나 이 레벨링 방법에는 한계가 있습니다. 15도~20도의 입사각(또는 실리콘 웨이퍼 표면의 수직 방향에 대한 70도~75도의 입사각)과 같은 사선 입사광이 사용되기 때문에 약 1.5의 백색광 굴절률을 가진 포토레지스트 및 이산화규소와 같은 표면의 경우 그림 7.20과 같이 빛의 약 18%~25%만 반사되고 검출기에 들어오는 빛의 약 75%~82%는 투명한 매질 표면을 관통합니다. 투과된 빛의 이 부분은 불투명 매질이나 실리콘, 폴리실리콘, 금속 또는 실리콘 질화물과 같은 고굴절률 매질과 같은 반사 매질에 부딪힐 때까지 계속 전파된 다음 반사됩니다.
따라서 레벨링 시스템에서 실제로 감지한 "표면"은 포토레지스트의 상부 표면 아래 어딘가에 있을 것입니다. 백엔드 오브 더 라인(BEOL)은 주로 다양한 실리콘 이산화물과 같은 비교적 두꺼운 산화막을 가지고 있기 때문에 프런트엔드 오브 더 라인(FEOL)과 백엔드 사이에 특정 초점 거리 편차가 있을 것입니다. 일반적으로 투명 매체의 두께와 불투명 매체의 반사율에 따라 0.05와 0.20μm 사이입니다. 따라서 백엔드에서 칩의 디자인 패턴은 가능한 한 균일해야 합니다. 그렇지 않으면 패턴 밀도의 불균일한 분포로 인해 레벨링 오류가 발생하여 잘못된 틸트 보상이 도입되고 초점이 흐려집니다.

일반적으로 사진판 인쇄 기계의 레벨링에는 두 가지 모드가 있습니다.
(1) 평면 모드: 노출 영역 또는 전체 실리콘 웨이퍼의 여러 지점의 높이를 측정한 후 최소 제곱법에 따라 평면을 찾습니다.
(2) 동적 모드(스캐닝 포토리소그래피 기계 전용): 스캔된 슬릿 영역의 여러 지점의 높이를 동적으로 측정한 다음 스캐닝 방향을 따라 지속적으로 보상합니다. 물론 레벨링의 피드백은 실리콘 웨이퍼 플랫폼을 위아래로 움직이고 비스캐닝 방향을 따라 기울여서 달성된다는 것을 아는 것이 중요합니다. 보상은 일반적으로 밀리미터 수준에서 거시적으로만 가능합니다. 또한 비스캐닝 방향(X 방향)에서는 1차 기울기에 따라서만 처리할 수 있으며, 그림 7.21과 같이 비선형 곡률(예: 렌즈 필드 곡률 및 실리콘 웨이퍼 워핑)은 보상할 수 없습니다.

동적 모드에서 일부 리소그래피 기계는 실리콘 웨이퍼 가장자리의 불완전한 노출 영역(샷) 또는 칩 영역에 대한 레벨링 측정을 중지할 수도 있습니다(최대
많은 칩 영역(다이라고 함)을 포함할 수 있으며, 에피택시에 노출 또는 칩 영역 레벨링 데이터를 사용하여 실리콘 웨이퍼 가장자리의 과도한 높이 편차와 불완전한 필름 층으로 인한 측정 오류를 방지합니다. ASML 리소그래피 기계에서 이 기능을 "Circuit Dependent Focus Edge Clearance"(CDFEC)라고 합니다.
초점 심도에 영향을 미치는 주요 요인에는 시스템의 수치적 조리개, 조명 조건, 패턴의 선폭, 패턴의 밀도, 포토레지스트의 베이킹 온도 등이 있습니다. 그림 7.22에서 보듯이, 파동 광학에 따르면 최적 초점 거리에서 초점에 수렴하는 모든 광선은 동일한 위상을 갖습니다.
그러나 초점이 맞지 않는 위치에서 렌즈 가장자리를 통과하는 광선과 렌즈 중심을 통과하는 광선은 서로 다른 광학 경로를 이동하며 그 차이는 (FF′- OF′)입니다. 수치 조리개가 증가하면 광학 경로 차이도 증가하고 초점이 맞지 않는 지점에서 실제 초점 광 강도가 작아지거나 초점 심도가 작아집니다. 평행광 조명 조건에서 초점 심도(Rayleigh)는 일반적으로 다음 공식으로 주어집니다. 즉,


여기서 θ는 렌즈의 최대 개방 각도이며, 수치 조리개 NA에 해당합니다. NA가 비교적 작으면 대략 다음과 같이 쓸 수 있습니다.

NA가 클수록 초점 심도는 더 얕고, 초점 심도는 조리개 수의 제곱에 반비례하는 것을 알 수 있습니다.
수치적 조리개는 초점 심도에 영향을 미칠 뿐만 아니라 조명 조건에도 영향을 미칩니다. 예를 들어, 밀도가 높은 그래픽의 경우 공간 주기가 λ/NA보다 작으면 축외 조명이 초점 심도를 증가시킵니다. 이 부분은 축외 조명과 함께 섹션 7의 섹션 7.1에서 다시 논의합니다. 또한 그래픽의 선 너비도 초점 심도에 영향을 미칩니다. 예를 들어, 작은 그래픽의 초점 심도는 일반적으로 거친 그래픽보다 작습니다. 이는 작은 그래픽의 회절파 각도가 비교적 크고 초점 평면에서 수렴하는 각도가 비교적 크기 때문입니다. 위에서 언급했듯이 초점 심도는 더 작습니다. 또한 포토레지스트의 베이킹 온도도 어느 정도 초점 심도에 영향을 미칩니다. 노출 후 베이크(PEB)가 높을수록 포토레지스트 두께 내에서 수직 방향(Z)의 공간 이미지 대비 평균이 발생하여 초점 심도가 증가합니다. 그러나 이는 최대 이미지 대비를 줄이는 대가를 치릅니다.
마스크 오류 계수
마스크 오류 계수(MEF) 또는 마스크 오류 향상 계수(MEEF)는 마스크 선폭에 대한 실리콘 웨이퍼에 노출된 선폭의 편미분으로 정의됩니다. 마스크 오류 계수는 주로 광학 시스템의 회절로 인해 발생하며 공간 이미지에 대한 포토레지스트의 충실도가 제한되어 더 커집니다. 마스크 오류 계수에 영향을 미치는 요인에는 조명 조건, 포토레지스트 특성, 리소그래피 기계 렌즈 수차, 포스트 베이크(PEB) 온도 등이 있습니다. 지난 10년 동안 문헌에서 마스크 오류 계수에 대한 연구에 대한 많은 보고가 있었습니다. 이러한 연구를 통해 공간 주기가 작을수록 또는 이미지 대비가 작을수록 마스크 오류 계수가 커진다는 것을 알 수 있습니다. 노출 파장보다 훨씬 크거나 소위 선형 범위에 있는 패턴의 경우 마스크 오류 계수는 일반적으로 1에 매우 가깝습니다. 파장에 가깝거나 작은 패턴의 경우 마스크 오류 계수가 상당히 증가합니다. 그러나 다음과 같은 특수한 경우를 제외하고 마스크 오류 계수는 일반적으로 1보다 작지 않습니다.
(1) 교대 위상 이동 마스크를 사용한 라인 리소그래피는 1보다 상당히 작은 마스크 오차 계수를 생성할 수 있습니다. 이는 공간 이미지 필드 분포에서 최소 광 강도가 주로 인접한 위상 구역에서 발생하는 180도 위상 돌연변이로 인해 발생하기 때문입니다. 위상 돌연변이에서 마스크의 금속 라인 폭을 변경해도 라인 폭에 거의 영향을 미치지 않습니다.
(2) 마스크 오차 계수는 광 근접 효과 보정에서 작은 보상 구조 근처에서 1보다 상당히 작을 것입니다. 이는 회절로 인해 제한된 분해능을 가진 이미징 시스템에서는 주 패턴의 작은 변화를 민감하게 식별할 수 없기 때문입니다.
일반적으로 선이나 홈 및 접촉 구멍과 같은 공간적으로 확장된 패턴의 경우 마스크 오류 계수는 1 이상입니다. 마스크 오류 계수의 중요성은 선 폭과 마스크 비용과의 관계에 있기 때문에 이를 작은 범위로 제한하는 것이 매우 중요합니다. 예를 들어, 선 폭 균일성 요구 사항이 매우 높은 게이트 층의 경우 마스크 오류 계수는 일반적으로 1.5 이하로 제어해야 합니다(90nm 이상의 공정의 경우).
최근까지 마스크 오차 계수에 대한 데이터를 얻으려면 수치 시뮬레이션이나 실험적 측정이 필요했습니다. 수치 시뮬레이션의 경우 일정 수준의 정확도를 달성하려면 시뮬레이션 매개변수 설정에 대한 경험에 의존해야 합니다. 전체 리소그래피 매개변수 공간에서 마스크 오차 계수의 분포에 대한 정보가 필요한 경우 이러한 방법을 사용하는 데 오랜 시간이 걸립니다. 사실, 밀도가 높은 선이나 홈을 이미징하는 경우 마스크 오차 계수는 이론적으로 분석적 근사 표현식을 갖습니다. 공간 주기 p가 λ/NA보다 작고 선의 폭이 홈의 폭과 같은 특수 조건에서 환형 조명 조건에서 분석적 표현식을 단순화하여 다음과 같은 형태로 작성할 수 있습니다. 즉,

+, -는 각각 홈과 선에 적용 가능합니다. 그 중 σ는 부분적 코히어런스 매개변수(0<σ <1)이고, 는 감쇠된 위상 이동 마스크의 진폭 투과율 계수(예: 6% 감쇠 마스크의 경우 0.25)이며, n은 포토레지스트 굴절률(일반적으로 1.7~1.8)이고, a는 임계값 모델에서 동등한 광산 확산 길이(기술 노드에 따라 다르지만 일반적으로 32~45nm 노드의 경우 5~10nm, 0.18~0.25μm 노드의 경우 70nm)입니다.
교대 위상 이동 마스크(Alt-PSM)의 경우 MEF는 다음과 같은 더 간단한 표현을 갖습니다.

그 중 공간주기 p<3λ / (2NA), CD refers to the line width on the silicon wafer, and δ refers to the line width on the mask. If we plot equation (7-21), we can get the result in Figure 7.23. It can be seen that MEF increases rapidly as the spatial period decreases, and increases as the photoacid diffusion length increases.

수식(7-21)에서 광산 확산 길이를 제외한 모든 매개변수가 알려져 있다면, 광산의 확산 길이는 실험 데이터를 피팅하여 얻을 수 있습니다. 결과에 따르면, 40초의 포스트베이크 후에 특정 유형의 193nm 포토레지스트의 광산 확산 길이는 27nm이고, 60초의 포스트베이크 후에 확산 길이는 33nm가 됩니다. 그리고 데이터의 정확성으로 인해 광산의 확산 길이의 측정 정확도는 ±2nm입니다. 이는 그림 7.24에서 볼 수 있듯이 이전 측정 방법의 정확도보다 10배 더 높습니다. 마스크 오차 계수는 또한 선폭 균일성을 위한 마스크 선폭 요구 사항을 계산하는 데 사용할 수 있으며, 광학 근접 효과의 보정에서 2차원 그래픽의 간격 규칙 설정에도 사용할 수 있습니다. 그림 7.25에 표시된 것처럼 선 끝이 짧아진 2차원 그래픽의 경우 간단한 점 확산 함수와 광산 확산의 일정 정도 근사화를 통해 선 끝 광학 근접 효과에 대한 거의 분석적인 공식을 얻을 수 있습니다. 즉,


여기서 PSF는 점 확산 함수이고, 아래 첨자 "D"는 광산의 확산을 나타내고, a는 광산 확산 길이를 나타내고, n=1, 2는 코히어런트 및 비코히어런트 조명 조건에 해당합니다.

선폭 균일성
반도체 공정에서의 선폭 균일성은 일반적으로 칩 영역, 샷 영역, 웨이퍼 영역, 로트 영역, 로트 간 영역으로 구분됩니다. 선폭 균일성에 영향을 미치는 요인과 영향 범위에 대한 일반적인 분석은 표 7.2에 나와 있습니다. 표 7.2에서 다음을 찾을 수 있습니다.

1) 일반적으로 리소그래피 장비와 공정 윈도우에 의해 발생하는 문제는 광범위한 영향을 미칩니다.
(2) 마스크 제조상의 오류나 광 근접 효과로 인한 문제점은 일반적으로 노출 영역에 국한된다.
(3) 코팅이나 기판에 의해 발생하는 문제는 일반적으로 실리콘 웨이퍼에 국한됩니다.
CMOS 디바이스는 일반적으로 선폭의 약 ±10%의 선폭 균일성이 필요합니다. 게이트의 경우 일반적인 제어 정확도는 ±7%입니다. 이는 0.18μm 노드 이하의 공정에서 일반적으로 리소그래피 후, 에칭 전에 선폭 "트림" 에칭 공정이 있기 때문이며, 이는 리소그래피 선폭을 디바이스 선폭 또는 일반적으로 리소그래피 선폭의 70%인 디바이스 선폭에 가깝게 더욱 줄입니다. 디바이스 선폭 제어가 ±10%이므로 리소그래피 선폭은 ±7%가 됩니다.
리소그래피 선폭의 균일성을 개선하는 방법에는 여러 가지가 있는데, 예를 들어 리소그래피 기계의 조명 분포에서 노출 에너지 분포를 노출 영역에서 노출 균일성 측정 결과에 따라 보상하는 방법이 있습니다. 이 보상은 두 가지 수준에서 달성할 수 있습니다. 모든 조명 조건에 적용 가능한 기계 상수에서 보상하거나 노출 서브루틴(특정 노출 프로그램 따르기)에서 보상할 수 있습니다. 이런 식으로 엄격한 균일성 요구 사항으로 특정 수준을 정확하게 타겟팅할 수 있습니다. 또한 불균일한 리소그래피 선폭의 근본 원인을 분석하여 개선할 수도 있습니다. 예를 들어, 전형적인 문제는 실리콘 웨이퍼 기판의 공정 구조로 인해 발생하는 높이 차이가 게이트 선폭 균일성에 미치는 영향입니다. 예를 들어, [6]에서 논의한 게이트 층의 국부 선폭 균일성(Local CD Variation, LCDV)은 기판의 높이 변동으로 인해 저하됩니다. 이 변동은 그림 7.28에 나와 있습니다.

높이 차이로 인한 선폭 변화는 그림 7.29와 그림 7.30에 나와 있습니다. 높이 차이가 점차 감소함에 따라 선폭이 점차 감소하여 안정적인 값을 갖는 것을 볼 수 있습니다.


1. 칩 영역 또는 그래픽 영역의 선폭 균일성 향상
이 범위에 영향을 미치는 요소가 많으므로, 여기서는 몇 가지 주요 방법만 논의합니다.
(1) 공정윈도우를 개선하고 공정윈도우를 최적화한다.
밀도가 높은 그래픽의 경우, 축외 조명을 사용하여 대비와 초점 심도를 모두 개선할 수 있으며 위상 이동 마스크를 사용하여 대비를 개선할 수 있습니다.
분리된 그래픽의 경우, SRAF(Sub-Diffraction Scattering Strips)를 사용하여 분리된 그래픽의 초점 심도를 개선할 수 있습니다.
반격리 그래픽의 경우, 즉 공간 주기가 최소 공간 주기의 두 배보다 작고 최소 공간 주기보다 약간 큰 경우, 여기서 프로세스 창은 그림 7.31에서 보여지는 것처럼 "금지된 피치"라고도 알려진 거의 어려운 상태에 도달하게 됩니다.

그림 7.31에서 볼 수 있듯이 최소 공간 주기 310nm에 비해 선폭은 130nm에서 500nm 주기 근처의 약 90nm로 떨어집니다. 여기에는 (여기에는 표시되지 않음) 대비와 초점 심도가 크게 떨어집니다. 공간 주기의 금지는 논리 회로의 리소그래피에서 고정된 최소 선폭을 유지해야 하기 때문에 발생하며, 이는 서로 다른 공간 주기 또는 인접 패턴에서 비균등 간격 이미징에서 대비가 심각하게 부족하게 됩니다. 이는 주로 축외 조명이 반밀도 그래픽에 제한을 가하기 때문에 발생합니다. 일반적으로 축외 조명은 최소 공간 주기에만 큰 도움이 되지만 최소 공간 주기와 최소 공간 주기의 2배에서 소위 "반밀도" 그래픽에 어느 정도 부정적인 영향을 미칩니다. 소위 금지 기간 동안 프로세스 윈도우를 개선하기 위해 축외 조명의 축외 각도를 적절히 줄여 균형 잡힌 선폭 균일성 성능을 달성해야 합니다.
(2) 광 근접 효과 보정의 정확도와 신뢰성을 향상시킵니다.
광 근접 효과 보정의 기본 프로세스는 다음과 같습니다. 모델을 수립할 때 먼저 그림 7.32와 같이 테스트 마스크에 교정 그래픽을 설계합니다. 그런 다음 실리콘 웨이퍼에 노출시켜 실리콘 웨이퍼의 포토레지스트 패턴 크기를 얻은 다음 모델을 교정하고(모델의 관련 매개변수를 결정) 동시에 교정량을 계산합니다. 그런 다음 실제 그래프와 교정 그래프의 유사성을 기반으로 모델에 따라 교정합니다.
광 근접 효과 보정의 정확도는 다음 요인에 따라 달라집니다. 실리콘 웨이퍼 선폭 데이터 측정 정확도, 모델 피팅 정확도, 샘플링(분할) 방법, 샘플링 포인트 밀도 선택, 올바른 단계 크기 등과 같은 모델의 회로 패턴 보정 알고리즘의 합리성 및 신뢰성. 포토레지스트 모델의 경우 일반적으로 가우시안 확산(가우시안 확산이 있는 임계값 모델) 및 가변 임계값 레지스트 모델을 포함한 간단한 임계값 모델이 있습니다. 전자는 포토레지스트가 전등 스위치라고 가정합니다. 광 강도가 특정 임계값에 도달하면 현상액에서 포토레지스트의 용해 속도가 갑자기 변합니다. 후자는 전자가 실험 데이터와 다르기 때문입니다. 후자는 포토레지스트가 복잡한 시스템이며 반응 임계값은 최대 광 강도와 최대 광 강도의 기울기(광감응제의 방향 확산을 유발함)와 관련이 있으며 비선형 관계일 수 있다고 생각합니다. 후자는 또한 고밀도에서 고립된 패턴에 대한 일부 에칭 선폭 편차를 설명할 수 있습니다. 물론, 이런 종류의 모델은 물리적 이미지를 물리적으로 매우 명확하게 보여줄 수 없습니다. 일반적으로 임계값 모델과 가우시안 확산의 물리적 이미지는 매우 명확하며, 사람들은 특히 공정 개발 및 공정 최적화 작업에서 더 많이 사용합니다. 광학 근접 효과 보정 측면에서 매우 짧은 시간에 몇 나노미터까지 정확한 모델을 구축해야 하기 때문에 물리적 의미를 명확하게 설명할 수 없는 추가 매개변수를 추가하는 것은 불가피하며 일시적인 조치이기도 합니다.
물론, 포토리소그래피 공정이 계속 발전함에 따라 포토리소그래피 근접 효과 보정 모델도 계속 진화하여 물리적 의미가 있는 매개변수를 흡수할 것입니다. 모델의 정확도를 높이기 위해 측정 지점 수를 늘려(예: 3~5회) 측정 그래픽의 대표성을 확장할 수 있습니다. 즉, 그림 7.32와 같이 교정(게이지) 그래픽을 개선할 수 있습니다. 동일한 회로 설계 그래픽이 기하학적 모양의 상관 관계와 유사성에 있습니다. 모델 피팅 프로세스 동안 물리적 매개변수를 사용하고 피팅 오류를 리소그래피 엔지니어에게 피드백하여 분석하여 가능한 오류를 제거해 보세요. 광학 근접 효과 보정은 다른 장에서 자세히 설명합니다.

(3) 반사방지층의 두께를 최적화한다.
포토레지스트와 기판 사이의 굴절률(n 및 k 값) 차이로 인해 조명광의 일부가 포토레지스트와 기판 사이의 계면에서 반사되어 입사 이미징 광과 간섭을 일으킵니다. 이 간섭이 심하면 그림 7.33(c)와 같이 정상파 효과가 발생할 수도 있습니다. 그림 7.33(c)는 i-라인 365nm 또는 248nm 포토레지스트의 단면을 보여줍니다. 정상파의 피크 간 거리는 파장의 반이고 포토레지스트의 굴절률 n은 일반적으로 피크 수(~10)에 따라 약 1.6~1.7이므로 포토레지스트의 두께는 약 0.7~1.2μm라고 추론할 수 있습니다. 193nm 포토레지스트의 두께는 일반적으로 300nm 미만입니다. 포토레지스트 하단의 반사광을 제거하기 위해 일반적으로 하단 반사 방지 코팅(BARC)을 사용하는데, 이는 그림 7.34(a)와 같다. 그림 7.34(a)에서는 하단 반사 방지층을 추가한 후 계면을 추가한다. 반사 방지층과 기판 사이의 반사광 위상은 반사 방지층의 두께를 조절하여 포토레지스트와 반사 방지층 사이의 반사광을 상쇄함으로써 조절할 수 있으며, 이를 통해 포토레지스트 하단의 반사광을 제거할 수 있다. 반사 방지층의 경우, 약 1/4 파장의 두께에서 엄격한 반사 방지를 달성하려면 반사 방지층의 굴절률 n을 정밀하게 조절하여 n기판그리고 n포토레지스트기판의 즉,


(4) 포토레지스트 두께 및 스윙커브 최적화
하단 반사 방지층이 있어도 포토레지스트 하단에서 반사되는 일정량의 잔여광이 여전히 있을 것입니다. 이 빛의 일부는 그림 7.35(a) 및 그림 7.35(b)에 표시된 것처럼 포토레지스트 상단에서 반사되는 빛을 간섭합니다. 포토레지스트의 두께가 변함에 따라 "반사광 0" 및 "반사광 1"의 위상이 주기적으로 변하여 간섭을 일으킵니다. 간섭에 의한 에너지 재분배로 인해 포토레지스트의 두께가 변함에 따라 포토레지스트에 들어오는 에너지가 주기적으로 변하므로 그림 7.35(b)에 표시된 것처럼 포토레지스트의 두께가 변함에 따라 선폭이 주기적으로 변합니다. 일반적으로 포토레지스트 두께에 따라 선폭이 변동하는 문제를 해결하는 방법은 여러 가지가 있습니다.
반사방지층의 두께 및 굴절률을 최적화합니다.(적합한 반사방지층을 선택합니다.)
두 개의 반사 방지층을 선택합니다(일반적으로 그 중 하나는 실리콘 질화물 SiON과 같은 무기 반사 방지층입니다)
포토레지스트 상단에서 반사되는 빛을 제거하기 위해 상단 반사 방지 코팅(Top ARC, TARC)을 추가합니다.
그러나 반사 방지층을 추가하면 공정이 더 복잡해지고 비용이 많이 듭니다. 공정 창이 여전히 허용되는 경우 일반적으로 가장 작은 선폭을 가진 두께가 선택됩니다. 이는 포토레지스트의 두께가 변하면 선폭이 작아지지 않고 커지기 때문에 공정 창이 급격히 작아지기 때문입니다.

2. 선폭 균일성을 개선하기 위한 기타 방법
슬릿 조명, 수차, 초점 거리 및 레벨링 제어, 플랫폼 동기화 정확도 및 리소그래피 기계의 온도 제어 정확도의 균일성을 개선합니다. 마스크 선폭의 균일성을 개선합니다. 기판을 개선하고 리소그래피에 대한 기판의 영향을 줄입니다(초점 심도를 높이고 반사 방지층을 개선하는 것을 포함). 그중에서 4.2절에서는 디자인 패턴의 균일성을 높이는 것이 레벨링의 정확도를 개선하고 실제로 초점 심도를 높이는 데 도움이 된다고 언급했습니다. 패턴의 가장자리 거칠기는 일반적으로 다음 요인으로 인해 발생합니다.
(1) 포토레지스트의 고유 거칠기 : 포토레지스트의 분자량, 분자량의 크기 분포, 광산발생제(PAG)의 농도와 관련이 있다.
(2) 광세기 증가에 따른 포토레지스트 현상 용해속도의 대비 : 임계에너지 부근의 광세기에 따른 용해속도 변화가 급격할수록 부분현상에 의한 거칠기가 작아진다.
(3) 포토레지스트 감도: 포토레지스트가 PEB(노출 후 베이킹)에 덜 의존할수록 선폭의 거칠기가 더 커질 가능성이 높습니다. 노출 후 베이킹은 일부 불균일성을 제거할 수 있습니다.
(4) 광석판 이미지의 대비 또는 에너지 마진: 대비가 클수록 패턴의 가장자리가 현상되는 영역이 좁아지고 거칠기가 낮아집니다. 일반적으로 선폭 거칠기와 이미지 로그 기울기(ILS)의 관계로 표현됩니다.
화학 증폭 포토레지스트의 경우, 광화학 반응에 의해 생성된 각 광산 분자는 생성 지점을 원의 중심으로 하고 반지름을 반지름으로 하는 확산 길이 범위 내에서 탈보호 촉매 반응을 겪습니다. 일반적으로 193nm 포토레지스트의 경우 확산 길이는 5~30nm 범위입니다. 확산 길이가 길수록 이미지 대비가 변하지 않을 때 패턴 거칠기가 더 좋습니다. 그러나 45nm 하프 피치 근처와 같이 분해능 한계 근처에서 확산 길이가 증가하면 공간 이미지 대비가 감소하고 공간 이미지 대비가 감소하면 패턴 거칠기가 증가합니다.
포토레지스트의 용해 속도는 일반적으로 빛의 강도가 변함에 따라 매우 낮은 수준에서 매우 높은 수준으로 단계적으로 변화합니다. 이 단계적 변화가 더 가파를 경우 소위 "부분적 개발" 영역, 즉 단계적 변화의 중간에 있는 전환 영역이 줄어들어 패턴의 거칠기가 줄어듭니다. 물론 용해 대비가 너무 높으면 초점 심도에도 영향을 미칩니다. 일부 248nm 및 365nm 포토레지스트의 경우 약간 더 작은 개발 대비로 그림 7.36에서와 같이 초점 심도를 어느 정도 확장할 수 있습니다.

포토레지스트의 감도가 높을수록 광산 확산 길이가 짧아집니다(공중 이미지의 충실도가 높아지고 해상도가 높아짐). 이러한 포토레지스트는 일반적으로 노출 후 베이킹에 덜 의존하기 때문에 어느 정도 패턴 거칠기가 발생할 수 있습니다. 그러나 동시에 광산 발생제의 농도를 높이면 이러한 상황을 개선할 수 있습니다. 포토레지스트 이미지의 대비를 개선하면 그림 7.37과 같이 패턴 거칠기를 줄일 수 있습니다.

접촉 구멍과 비아의 둥글기는 패턴의 거칠기와 유사합니다. 또한 광산의 확산, 광산의 농도, 공간적 이미지 대비 및 포토레지스트 현상의 대비와도 관련이 있습니다. 여기서는 하나하나씩 논의하지 않겠습니다.
포토레지스트 형태
포토레지스트 형태의 이상에는 측벽 기울기 각도, 정상파, 두께 손실, 바닥 발판, 바닥 절개, T-탑, 상단 라운딩, 선폭 거칠기, 종횡비/패턴 덤핑, 바닥 잔류물 등이 포함됩니다. 그림 7.38에서 보듯이 하나씩 논의해 보겠습니다.

측벽 각도: 이는 일반적으로 포토레지스트 하단으로 들어오는 빛이 상단의 빛보다 약하기 때문입니다(포토레지스트가 빛을 흡수하기 때문). 해결책은 일반적으로 포토레지스트가 빛을 흡수하는 것을 줄이는 동시에 포토레지스트의 빛에 대한 감도를 높이는 것입니다. 이는 감광성 성분을 더 많이 첨가하고 탈보호 반응(확산-촉매 반응)에서 광산의 촉매 효과를 높여서 달성할 수 있습니다. 측벽 각도는 에칭에 어느 정도 영향을 미치며, 심각한 경우 측벽 각도가 에칭된 기판 재료로 전달됩니다.
정상파: 정상파 효과는 반사 방지층을 추가하고 광감각제의 확산을 적절히 증가시키면(예: 광산의 확산을 증가시키기 위해 포스트 베이킹의 온도 또는 시간을 증가시킴) 효과적으로 해결할 수 있습니다.
두께 감소: 포토레지스트 상단은 가장 강한 빛을 받고 가장 많은 현상액에 노출되므로, 현상이 완료된 후에는 포토레지스트의 두께가 어느 정도 감소합니다.
발판: 바닥 발판은 일반적으로 포토레지스트와 기판(예: 바닥 반사 방지층) 사이의 산-염기 불균형으로 인해 발생합니다. 기판이 비교적 알칼리성 또는 친수성인 경우 광산이 중화되거나 기판에 흡수되어 포토레지스트 바닥의 보호 제거 반응이 손상됩니다. 이 문제에 대한 해결책은 일반적으로 기판의 산성도를 높이고 포토레지스트와 반사 방지층의 노출 전 베이킹 온도를 높여 포토레지스트와 기판으로의 광산 확산을 제한하는 것입니다. 그러나 확산을 제한하면 패턴의 거칠기, 초점 심도 등과 같은 다른 속성에도 영향을 미칩니다.
언더컷: 바닥 발판과 달리 언더컷은 포토레지스트 바닥의 산도가 더 높고 바닥의 탈보호 반응이 다른 곳보다 더 높기 때문에 발생합니다. 해결책은 위의 것과 정반대입니다.
T-토핑: T-토핑은 공장에서 공기 중의 알칼리성(염기성) 성분인 암모니아, 암모니아(암모니아), 아민 유기화합물(아민) 등이 포토레지스트 상부로 침투하여 포토산의 일부를 중화시켜 상부의 국부적인 선폭이 커지고, 심하면 선접착을 유발합니다. 해결책은 포토리소그래피 구역의 공기 중 알칼리 함량을 엄격히 제어하는 것입니다. 보통 20ppb(10억 분의 1) 이하로 하고, 노광부터 노광 후 지연까지의 시간을 단축하려고 노력합니다.
상단 라운딩: 일반적으로 포토레지스트 상단에 조사되는 광 강도는 비교적 큽니다. 포토레지스트의 현상 대비가 그리 높지 않은 경우, 증가된 광의 이 부분은 용해 속도를 증가시켜 상단이 둥글게 됩니다.
선폭 거칠기: 선폭 거칠기는 이전에 논의되었습니다.
종횡비/패턴 붕괴: 종횡비는 현상 공정 중에 현상제, 탈이온수 등이 현상 후 포토레지스트 패턴에서 표면 장력에 의해 형성된 측면 장력을 생성하기 때문에 논의됩니다(그림 7.39 참조). 밀도가 높은 패턴의 경우 양쪽의 장력이 거의 같으므로 문제가 그렇게 크지 않습니다. 그러나 밀도가 높은 패턴의 가장자리에 있는 패턴의 경우 종횡비가 크면 일방적인 장력이 발생합니다. 현상 공정 중 고속 회전의 교란과 함께 패턴이 붕괴될 수 있습니다. 실험 결과 높이 대 너비 비율이 3:1을 초과하면 일반적으로 더 위험합니다.

스커밍: 스커밍의 원인은 일반적으로 하단 포토레지스트가 충분한 빛을 흡수하지 못해 부분적인 현상이 발생하기 때문입니다. 포토레지스트의 해상도를 개선하기 위해서는 포토산의 확산 길이를 최소화해야 하며 포토산의 확산으로 인한 공간적 현상 균일성을 줄여야 합니다. 이런 식으로 공간의 거칠기가 증가합니다. 일반적으로 조명 조건, 마스크 선폭 바이어스, 베이킹 온도 및 시간을 최적화하여 공간적 이미지 대비를 개선하고 단위 면적당 노출을 늘리면 하단 스커밍을 줄일 수 있습니다.
정렬 및 오버레이 정확도
정렬은 레이어 간의 등록을 말합니다. 일반적으로 레이어 간의 오버레이 정확도는 실리콘 웨이퍼의 임계 크기(최소 크기)의 약 25%~30%여야 합니다. 여기서는 오버레이 프로세스, 오버레이 매개변수 및 방정식, 오버레이 마크, 오버레이와 관련된 장비 및 기술적 문제, 오버레이 정확도에 영향을 미치는 프로세스에 대해 논의합니다.
오버레이 공정은 그림 7.40과 같이 첫 번째 레이어(또는 전면 레이어) 정렬 마크 제작, 정렬, 정렬 솔루션, 포토리소그래피 기계 보상, 노출, 노출 후 오버레이 정확도 측정, 다음 라운드 정렬 보상 계산으로 나뉩니다. 오버레이의 목적은 실리콘 웨이퍼 플랫폼(즉, 포토리소그래피 기계의 좌표)과 실리콘 웨이퍼의 좌표의 중첩을 최대화하는 것입니다. 선형 부분의 경우 네 가지 매개변수가 있습니다. 변환(Tx, Ty), 수직축(Z), 회전(R) 및 배율(M)을 중심으로 합니다. 실리콘 웨이퍼 좌표계(X)와w, Yw) 및 광석판 인쇄 기계 좌표계(X)M, YM):
XM=TX+M[XW 코스(R)-YW 죄 (R)]











